SIMULAZIONE TERZA PROVA

Classe V sez. D 21/4/2001
MATEMATICA


Test strutturato a risposta multipla.

In ogni quesito una sola risposta è quella esatta.


1 Scegliere l'unica affermazione corretta, relativamente ad una generica f(x) ed un intervallo (a,b):
f(x) continua implica f(x) derivabile
f(x) derivabile implica f(x) continua
f(x) non derivabile implica f(x) discontinua
f(x) non derivabile implica f(x) continua

2 Data la funzione , nell'intervallo [-1,1]:
é applicabile il teorema di Lagrange e l'ascissa del punto che lo soddisfa è
é applicabile il teorema di Lagrange e l'ascissa del punto che lo soddisfa è
Il Teorema non è applicabile perché la funzione non è definita in x = 0
Il Teorema non è applicabile perché la funzione non è derivabile in x = 0

3 Dire se la seguente affermazione è vera V o falsa F:
V F

4 Data la funzione e l'intervallo
l'ascissa di un punto che soddisfa il teorema di Rolle è x = 1;
l'ascissa di un punto che soddisfa il teorema di Rolle è:
l'ascissa di un punto che soddisfa il teorema di Rolle è:
Il Teorema non è applicabile perché:

5 Il differenziale della funzionenel punto di ascissa
non esiste è uguale a -5 è uguale a 2dx è uguale a

6 L'integrale definito è uguale a :
12 -10 15 9

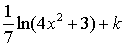
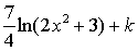
7 L'integrale indefinito è uguale a:
non si può calcolare

   


Tempo a disposizione 30 minuti.

La prova è valutabile oggettivamente per punteggi :

Quesito 1) : punti 1

Quesito 2) , 3) , 5) , 7) : punti 2

Quesito 4) , 6) : punti 3
Valutazione massima : 15 punti

Il segno sul quadratino di sinistra indicherà la risposta esatta.







L'angolo dei numeri La Pagina della Matematica Lavori e pubblicazioni multimediali Home Page