SIMULAZIONE TERZA PROVA

Classe V sez. D 24/3/2001
MATEMATICA


Test strutturato a risposta multipla.

In ogni quesito una sola risposta è quella esatta.


1 Data la seguente funzione definita a tratti:

nel punto xo =1:
f(x) è continua f(x) è discontinua di II° specie f(x) è derivabile f(x) non è definita

2 Selezionare il sistema da risolvere per trovare il Dominio della funzione

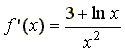
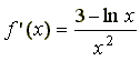
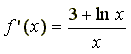
3 La derivata prima della corrisponde a:

4 La tangente alla curva nel suo punto di ascissa xo = 1 é:

5 Sia data la funzione f(x)=, gli asintoti della funzione sono:
x = -1; y = 2x - 1 y = -1; x = 2y-1; x = -1; y = -x+2; x = 1

6 Considerata la funzione rappresentata nel grafico seguente:


quale delle seguenti affermazioni è vera?
f(x) è decrescente per x = 1 f(x) é decrescente per (x< -1) U (x >1) f(x) è decrescente per x>1 f(x) è sempre decrescente

7 Applicando la regola di De l'Hopital otteniamo che è uguale a:
1 -1

8 La funzione
non ha né massimi né minimi perché la sua derivata non si annulla mai ha un massimo per x = 0 ha un minimo per x = 0 ha un flesso a tangente orizzontale per x = 0
   


Tempo a disposizione 30 minuti.

La prova è valutabile oggettivamente per punteggi :

I quesiti 3) , 4) ,5) vengono valutati 3 punti ciascuno

I quesiti 7) e 8) valgono punti 1,5 ciascuno

I quesiti 1), 2), 6) valgono 1 punto ciascuno

Valutazione massima : 15 punti







L'angolo dei numeri La Pagina della Matematica Lavori e pubblicazioni multimediali Home Page